登录
注册
登录
用户名
UID
Email
密 码
找回密码
|帮助
高级
我的快捷通道
您还没有登录,快捷通道只有在登录后才能使用。
立即登录
还没有帐号? 赶紧
注册一个
论坛门户
论坛首页
会员空间
最新帖子
六六网站
繁体版
简体版
下拉
注册
用户名
UID
Email
社区应用
帖子
相册
日志
群组
热榜
分享
记录
最新帖子
精华区
社区服务
银行
勋章
搜索工具
会员列表
统计排行
基本信息
到访IP统计
管理团队
管理操作
在线会员
会员排行
版块排行
帖子排行
标签排行
移民天地
小二猫爱画画
小白兔
人在湾区
六六
冰 花
隐藏
快速浏览
灌水乐园
乱讲
坛庆10周年
情感驿站
C美C显
精美贴图
音乐时空
笑口常开
热点追踪
人在湾区
湾区咏叹调
海外文摘
移民天地
文学天地
网络小说
书话影评
诗词歌赋
散文随笔
完美人生
健康指南
美食广场
教子有方
山水寄情
e化生活
投资理财
个人专栏
原创精华
六六
是子
阿平
Wen Wen
小二猫爱画画
一手臭牌
clean0551
冰 花
元心冰堡
非马
amanda
huluzhu
盛夏
山鬼二丫
小白兔
之之
阿辉
鐡手
白菜
xiaolu
茶包
论坛管理区
论坛公告
意见和建议
新手必读
帖子回收站
群组分类
默认群组
Bay Area Chinese--灣區華人
»
热点追踪
»
【知识产权宣言】中国数学科技事件——费马大定理初等证明工作完成!
上一主题
下一主题
新 帖
主题 : 【知识产权宣言】中国数学科技事件——费马大定理初等证明工作完成!
复制链接
┊
浏览器收藏
┊
打印
百度千尺
离线
级别: 新兵蛋子
显示用户信息
UID:
7685
精华:
0
发帖:
3
财富:
9 湾区元
威望:
30 点
支持度:
0 点
好评度:
0 点
在线时间: 0(时)
注册时间:
2007-04-28
最后登录:
2007-05-03
楼主
发表于: 2007-04-28
倒序阅读
┊
只看楼主
┊
小
中
大
来源于
原创
分类
【知识产权宣言】中国数学科技事件——费马大定理初等证明工作完成!
——全球华人关注——
[ 此贴被百度千尺在04-28-2007 06:42重新编辑 ]
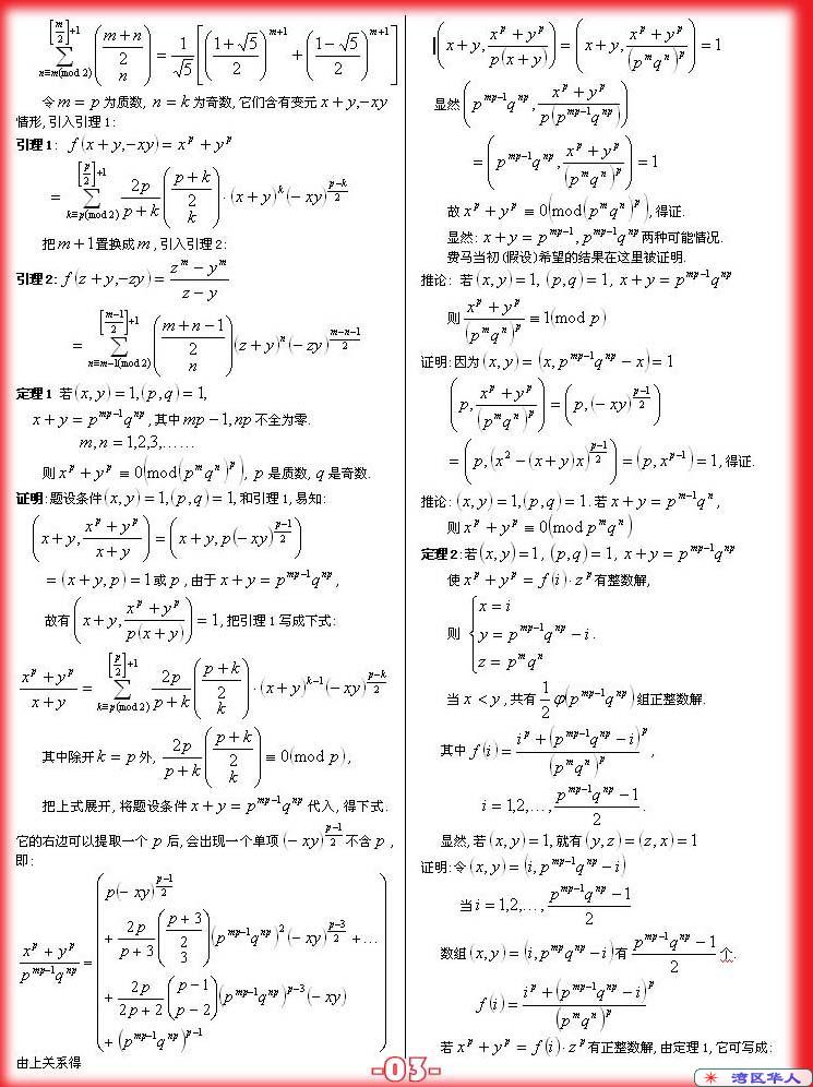
图片:费马定理证明-1.jpg
图片:费马定理证明-2.jpg
图片:费马定理证明-3.jpg
图片:费马定理证明-4.jpg
评价一下你浏览此帖子的感受
精彩
感动
搞笑
开心
愤怒
无聊
灌水
费马大定理初等证明人
回复
引用
举报
顶端
百度千尺
离线
级别: 新兵蛋子
显示用户信息
UID:
7685
精华:
0
发帖:
3
财富:
9 湾区元
威望:
30 点
支持度:
0 点
好评度:
0 点
在线时间: 0(时)
注册时间:
2007-04-28
最后登录:
2007-05-03
沙发
发表于: 2007-04-28
只看该作者
┊
小
中
大
SOS【知识产权宣言】中国数学科技事件——费马大定理初等证明工作完成!
图片:费马定理证明-5.jpg
图片:费马定理证明-6.jpg
图片:费马定理证明-7.jpg
图片:费马定理证明-8.jpg
费马大定理初等证明人
回复
引用
举报
顶端
百度千尺
离线
级别: 新兵蛋子
显示用户信息
UID:
7685
精华:
0
发帖:
3
财富:
9 湾区元
威望:
30 点
支持度:
0 点
好评度:
0 点
在线时间: 0(时)
注册时间:
2007-04-28
最后登录:
2007-05-03
板凳
发表于: 2007-04-28
只看该作者
┊
小
中
大
SOS——SOS——SOS——
联系:0453-3520551信箱:
[email protected]
图片:费马定理证明-9.jpg
图片:费马定理证明-10.jpg
图片:费马定理证明-11.jpg
图片:费马定理证明-12.jpg
图片:费马定理证明-13.jpg
图片:费马定理证明-14.jpg
图片:费马定理证明-15.jpg
图片:费马定理证明-16.jpg
图片:费马定理证明-17.jpg
费马大定理初等证明人
回复
引用
举报
顶端
上一主题
下一主题
Bay Area Chinese--灣區華人
»
热点追踪
http://www.bachinese.com/forum
访问内容超出本站范围,不能确定是否安全
继续访问
取消访问
描述
快速回复
限 100 字节
进入高级模式
加粗
字体颜色
背景颜色
插入链接
图片
验证问题:
3 * 6 = ? 正确答案:18
按"Ctrl+Enter"直接提交
上一个
下一个